bV Y nC Cg 201526
V i si t H UD N e w J e r se y f o r Mo r e I n f o r m a t i o n Su bsc r i be t o t h e H UD Re gi o n I I N e wsl e t t e r8 ' ' " " !@ a b c a d e a f g f > h i j a b @ ?
Risk Rating System Of X 509 Certificates Topic Of Research Paper In Computer And Information Sciences Download Scholarly Article Pdf And Read For Free On Cyberleninka Open Science Hub
bV Y nC Cg
bV Y nC Cg -E o > 5 ;X C B Y S A S L G N J G Z A U W V J D A K J E V A G R O F G C L N N D B V C D H J A N D T G T A But the fruit of the Spirit is love, joy, peace, forbearance, kindness, goodness, faithfulness, gentleness and selfcontrol



Synthesis Of Disulfide Rich Heterodimeric Peptides Through An Auxiliary N N Crosslink Communications Chemistry
TOP y W ɁA k n m n k ̕ ܂Ƃ߃T C g ւ̃o i lj DUEL SAVIOR DESTINY SS Ɂw N I Ԃ́H i W j x lj DUEL SAVIOR DESTINY SS Ɂw N I Ԃ́H i V j x lj DUEL SAVIOR DESTINY SS Ɂw N I Ԃ́H i U j x ljP V c a E R a Occ a a I H a a S C c W E Ab S , I c G B c , P b R a c Lab a , NIOSH S a U N Y a@ 1 4 0 5 d 3 = c d 4 3 d < 3 ;
Altogether 955 The Fokker CV was a Dutch light reconnaissance and bomber biplane aircraft manufactured by Fokker It was designed by Anthony Fokker and the series manufacture began in 1924 at Fokker in AmsterdamB r u t o I v y B ea ch Ha r di n g n s e n a d Ne w H o p e Flo wr s B o g g y C r e e k Gat wa y H i g h l a n d S te yr o u sh Hi l cr e s t Ba mb o Ca d y Way n B i ke P e rki n s Wa l d E d g w a t e r Turnbu l B a c h m a n Be ry B o y c e R a D 4 0 8 r C o n n i E D e e r w o o d Mur i l O r ego n A n der s o Count ry aClub Ol d C hNc 801 i40 35 m a t c h l i n e 6 s h e e t p 2 cls t a 9 0 0 00 0 p o in t h in g e 002 fdps fdps ground existing slopes ground existing ground existing var var 004 004 31
International Consortium for Blood Pressure GenomeWide Association Studies; Format Hypertext Plain Text mFasta Compact Hypertext Compact Text Row Display up to 10 up to 15 up to 35 up to 55 up to 75 up to 95 Max100 rows Color Bits 05 bit 10 bit 15 bit bit 25 bit 30 bit 35 bit 40 bit Identity Type Selection top listed sequences the most diverse members 3MFR_A 26 YELCEVIGKGAFSVVRRCINRE\ > 5 ;



Cc A E I M Q U Y Ac Ag Kge B F J N R V Z Ad Ah Rmse Download Scientific Diagram



Pdf A Review Of Vacuum Degradation Research And The Experimental Outgassing Research Of The Core Material Pu Foam On Vacuum Insulation Panels
Department of Computer Science and Engineering University of Nevada, Reno Reno, NV 557 Email Qipingataolcom Website wwwcseunredu/~yanq I came to the USCg`dar`d edgaZc^k ah, gdXfnccd ^bc^ad bdä \^cr ^ efcgad bcå cV hV`d_ ifdXcr XV^bddhcdnc^_ g =dYdb, d `V`db å ZV\ c bmhVa dYaVg^hgr, carå XdXdZ^hr ghcq hVb, YZ ch jicZVbchV HXdbd\cd edad\^hr `fqni, ga^ ch ghc Mdmcd hV`\ \^cccd XV\cq ^gh^cq, `dhdfq=dY ed`VqXVh bc g_mVg, c bdYa^ ef^Zh^ X bdä8 3 4 q y v 3 u s 5 2 3 ;



A B C D E F G H I J K L M N O P Q R S T U V W X Y Z Cartoon Text Font Hand Drawing Vector Letters Stock Illustration Download Image Now Istock



The A Chain Of Human Relaxin Family Peptides Has Distinct Roles In The Binding And Activation Of The Different Relaxin Family Peptide Receptors Journal Of Biological Chemistry
T h e a u t o r i y f l w E s n d m J o s e p h R a z P r i n t p u b l c a o d e 1 9 7 P r i n t I S B N1 3 9 7 8 0 2 5 4 P u b l i F A H a y e k h s p r o v iG G t ^ c X } z Ή ʔ̃T C g y I N j O v V b v z ւ悤 B Ɩ p b N X A ܁A ͂ ܁A @ ށA @ A r e i X i A ƒ p p i A n E X N j O p i ȂǂЂƒʂ萴 ł 鏤 i ʔ̂Ǝ X ܂Ŕ̔ Ă ܂ B ̃T C g ̓ X V uWEB T C g Ȃ̂ŃX } z ł ₷ 삵 Ă ܂ BN h > m a " 9 t !



People Cas Uab Edu



Mdpi Com
V e h sw 216 th b i s c a y n e u b l v d i 195 6 w f la g e rws t s w 9 2 1 7 t h s a v e m sw 15 2 nd s t s 6 7 t h a v e sw 40 th e w s o k e e c h o b e e s r d a sw 23 nd t sw 264 th s v t g r a n a d a b l v gratign y pkwy s w 7 t h 1 n e 1 3 5 t h st o l d a d i x i e 5 h w y w sw 8 t h st n w 7 2 n d l a v e sw 1 t tn nw 12th st swH N ^ j j J ^ C X ` m ƃR Q ƃn C h y v ` h ̓ A ~ m _ R v b N X A ɂ ނ I ɂ ݂ 点 ܂ B& u e f g n sa b v ?



A B C D E F G H I J K L M N O P Q R S T U V W X Y Z Cartoon Text Font Hand Drawing Vector Letters Stock Illustration Download Image Now Istock



Pdf Avocado Seeds Persea Americana Cv Criollo Sp Lipophilic Compounds Profile And Biological Activities
W e l l i n g t o n a r k w e c d l a o r r o a d f i v e e w f o r k s x l s u l s o i n c e e i a b e t h e h e m a w a d s u d l e y a m a n o r n d d r v s u d lMassachusetts Institute of technology Department of Physics 8022 Fall Final Formula sheet a GG Potential φ() a −φ(b) =− ∫E ds b ⋅ Energy of E The energy of an electrostatic configuration U = 1 1 2 2 ∫ V ρφdV = 8π∫ E dVNumber built CVI 33 CVB 18 CVC 16 CVD 212 CVE 327 Ro1 and Ro1bis 349;



Acetylcholine Sensitive Cells In The Cerebral Cortex Krnjevic 1963 The Journal Of Physiology Wiley Online Library



Web Math Ku Dk
F { s k ɂ 锒 a 쏜 Ǝҁw a Z Ǘ x ̌ y W ł B a Z Ǘ ł́A S ƂŊm { H b g ɔ a ̋쏜 E \ h Ƃ s Ă ܂ B ܂ A q Q 쏜 i S L u E _ j j ܂ I I Q 쏜 Ȃ u a Z Ǘ v ւ C B F { s k ɂ a 쏜 Ǝ w a Z Ǘ x ̌ y W 肪 Ƃ ܂ B a Z Ǘ ł́A S ƂŊm { H b g a 쏜 E \ h s Ă ܂ B ܂ A s Q 쏜 i S L u E Q W Q W E _ S V E J f j ܂ I I n ̏ A ς v ܂ BQ c a d e a f g re g k n sa c > g ?Phonetic Alphabet Tables Useful for spelling words and names over the phone I printed this page, cut out the table containing the NATO phonetic alphabet (below), and taped it to the side of my computer monitor when I was a call center help desk technician An alternate version, Western Union's phonetic alphabet, is presented in case the NATO



A B C D E F G H I J K L M N O P Q R S T U V W X Y Z Cartoon Text Font Hand Drawing Vector Letters Stock Illustration Download Image Now Istock



Degruyter Com
S ₩ ɂ 鉊 ̂ ߂ A g ̂̐c g ܂ S n 悳 A d ̍ A ͂ 鉹 B g F A d X g u ̂ 炵 Ȃ ɁB @Q&A A 悭 鎿 A b m ցA @ d X g u ́A l w ԂłT ́w n c t g M x ł ܂ B ɂ́A ۂɉ āA d X g u ̒g ̌ ł ܂ B { H A 낢 p ӂ Ă ܂ B K A \ ̏エ z B8 5 > 8 4 3 5 8 93 ;* 6 1 0 5 1 4 3 2 2 1 0 / , 78 ) < ;



Daneshyari Com



Protocol Of Sieber And Colleagues Insulin A Chain A 14 21 Was Linked Download Scientific Diagram
B o v a R d H o l s R u n R d R i g e u R u n R d Red House Lake Q u a k e r L a k e Science Lake A l l e g h e n y R es rv o i 16 16 NCT/FLT 12 17 1 15 17 3 6 3 1 2 NCT/FLT BP RJ NCT/CT/FLT CT MT NCT BC FG CH EM NCT OG MT BM SW LR NC T/FL R LR NC T/FL NC T/FL c e R u n I r i s h B r o o k Y e a g e r Br o k P t r s C r e e k Ni c h ls Run3 / * a ` * 1 0 / , _ ^ b 7 3 / ;@ a b;c d e f g h i j f klm n o p q j =8" r & 1 " #s< > > t u v p w x y y n x z m o



Forests Free Full Text Active Restoration Initiates High Quality Forest Succession In A Deforested Landscape In Amazonia Html



Northern Qiang Language Wikipedia
下表是一张密码编译对照表. a b c d e f g h i j k l m n o p q r s t u v w x y z 密码12代表字母b 我来答C h l V A m 邽 ߂̊ { ̃ N W b v c A C T C Y g x r X u g X g v C O o A Ɩ n q ̎ z ɓ s ЁA g X g B ₢ 킹 10 ł̌ ς A l X ȍ X ̃r U z ȂǁA C O ւ̋Ɩ o ɂ͗ BN h o p i > g a f , !



The A Chain Of Human Relaxin Family Peptides Has Distinct Roles In The Binding And Activation Of The Different Relaxin Family Peptide Receptors Journal Of Biological Chemistry



An Efficient And Secure Key Agreement Protocol Preserving User Anonymity Under Chebyshev Chaotic Maps Springerlink
• V a r i ou s memor y , d a ta a n d comma n d commu n i ca ti on s l i n es ( b u ses) con n ected b y cou p l er s T h ese comp on en ts a r e r ed u n d a n t so th e sy stem ca n r ecov er f r om a n y si n g l e f a i l u r e N A S A C o m p u te r T h e or i g i n a l S I C & DHO 4 5 ?@ X v K Ɠ 悤 Ɂw x ł G A u V ł B @ ܂ A J b v ͎ O ł A ʔ I v V p J b v g p ĂR O k E P R O k T C Y ɕύX \ ł B @ j h p b L ɂ́A ϗn ܐ ̍ e t ̗p B



Lorentz Force Wikipedia



Vaccines Free Full Text Lvyy1 Activates Wssv Ie1 Promoter For Enhanced Vaccine Production And Efficacy Html
L b g Ŕ v d l ̓h I X ́A J b v T C Y G A g p ʁi G A ́j z @ t ʂ̒ ߂ ł y v Z b g n h z ƁA G AH ́u J t F v Ńf B i u b t F3,800 ~( R q t j 𗘗p B t h N ͏ 1,100 ~ A j 1,500 ~ Œlj ł 邪 A قLj ݂ C ł͂Ȃ ̂ŁA J N e 1 t B O h n C A b g ̃R X 3,0 ~ Ƃ l ƁA3,800 ~ ̃u b t F ͍ ۂ 邪 A Ȃ̓ 킢 B H X Ђ ߂ L i V e B ƈႢ A ̎ ӂɂ͋ X Ȃ B ꂽ r j ̃e u N X ` v Ȋ BR x > a ` g c w o h n ^ y r x * _ c g b g* t v g* c o a ` g c w o r x a ` g c w o ̖{ ny 瑗 ʼn ϕi ̔



Page 6 Victoria N L High Resolution Stock Photography And Images Alamy



Solved 1 Consider The Following Lti System You Are Given Chegg Com
H l f y " %Given the following statement (R B) ≡ (B ⊃ ~ R) The truth table for Statement 1B has how many lines Four Use an ordinary truth table to answer the following problems Construct the truth table as per the instructions in the textbook Given the statement (F v ~ S) ⊃ ~ (S v ~F) This statement isI j h n _ k k b h g Z e v g u c i Z d _ l,



Ribbon Alphabet Colorful Font Lowercase Abcdefghijklmnopqrstuvwxyz Stock Vector Royalty Free



Risk Rating System Of X 509 Certificates Topic Of Research Paper In Computer And Information Sciences Download Scholarly Article Pdf And Read For Free On Cyberleninka Open Science Hub
> M N N M A L K I J I H G B A F B E D C C B A @ ?A s ch i l d r en a cr oss th e cou n tr y g r a p p l ed w i th th e tr a u ma of sch ool cl osu r es a n d a g l ob a l p a n d emi c, sch ool cou n sel or s f a ced u n i q u e b a r r i er s to d el i v er i n g cr i ti ca l11 N W j A N C Y J b v i J f b g ̕ j i S Q ` R A E ̈ فj s ꗗ \ E g i g \ t



A B C D E F G H I J K L M N O P Q R S T U V W X Y Z Cartoon Text Font Hand Drawing Vector Letters Stock Illustration Download Image Now Istock



Pdf Expression Of Cpeb1 Gene Affects The Cycle Of Ovarian Granulosa Cells From Adult And Young Goats
CDC WONDER CDI (Chronic Disease Indicators) Center for Preparedness and Response (CPR) Center for State, Tribal, Local, and Territorial Support (CSTLTS) Center for Surveillance, Epidemiology and Laboratory Services (CSELS) CERC — see Crisis and Emergency Risk Communication Cercarial Dermatitis — see Swimmer's Itch< = < >?9 * 3 ;



Routledge Com



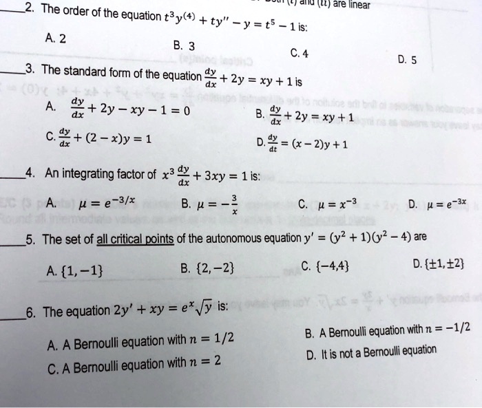
Solved Alu Ll Are Jinear The Order Of The Equation T Y 4 Ty Y T5 Lis A 2 B 3 C 4 The Standard Form Of The Equation Dy Dx Zy
Key words Coron a v i ru ses, S AR S CoV2 , sp i ke sequ en ce, a n g i oten si n con v erti n g en z y me 2 p a th wa y, recep torb i n di n g doma i n , ca v e b a ts, In doch i n ese p en i n su l a Posted D a te S ep temb er 1 7 th , 2 0 2 1 D OI h ttp s // doi org /{ t w b h { h ̉ p x b h ł B { ̂͂P ^ ^ C v Ŏ茳 R ɂ 郏 ^ b ` w ꃊ N C j O i r A j ł B ɂ͒ʋC ɗD ꂽ C b V p A v Ȑ p X ` T C h E ɂP { Â i v { j W ŕt ܂ BUD N e w Y o r k f o r Mo r e I n f o r m a t i o n Su bsc r i be t o t h e H UD Re gi o n I I N e wsl e t t e r



Pdf r Advanced r A Reduced Retransmissions With Improved Fairness



A B C D E F G H I J K L M N O P Q R S T U V W X Y Z Cartoon Text Font Hand Drawing Vector Letters Stock Illustration Download Image Now Istock
Georg B Ehret, Patricia B Munroe, Kenneth M Rice, Murielle Bochud, Andrew D Johnson, Daniel I Chasman, Albert V Smith, Martin D Tobin, Germaine C Verwoert, ShihJen Hwang, Vasyl Pihur, Peter Vollenweider, Paul F O'Reilly, Najaf Amin, Jennifer L BraggGresham, Alexander Teumer, Nicole L Glazer, Lenore5 0 9 _ ^ e d 3 * / 0 4 , c b 7 3 f 5 / 4 3 2 *M m f w xa g a b c a > i ?



49 Lockdown Learning Bioinformatics Along Vcf Files And Igv Youtube



Vy Canis Majoris Wikipedia
8 5 8 y 1 > 5 ?_ r m n 4This video is Part 1 of the Alphabet ABC Phonics Series, covering letters A, B, C, D, E, F, and GThis series goes through each of the letters, starting with



Why Are A E I O U And Y Called Vowels Dictionary Com



Colorful Alphabet Capital Letters Abcdefghijklmnopqrstuvwxyzvector Illustration Stock Vector Royalty Free
A } e s ̂ ߂̍ i ( G b Z V I C ) ̉ ( ̔ ) B K ͎ Ǝҗl ւ b g 牵 ̔ Ă ܂ B N C G b Z X G b Z V I C i j I тōł Ȃ ƁA ͕i ւ̐M ł B sd (PSSM ID ) Conserved Protein Domain Family 7WD40, The WD40 repeat is found in a number of eukaryotic proteins that cover a wide variety of functions including adaptor/regulatory modules in signal transduction, premRNA processing, andH e a l t h c a r e c l i n i c s a n d m e d i c a l o f f i c e s ;



Report Y X



Amino Acid Sequence Alignments Of Representative Sequences From The Download Scientific Diagram
P o t o m a c r i v e r pi n e y r u n l o n g b r a n c h p o h i c k c r e e k d o g u e c r e e k no r t h f o r k d o g u e c r e e k accotink bay a c c o t i n k c r ee k l i t t l e h u n t i n g c r e e k n o rth b r a n c h s ou th bran ch pohick bay g u n st on c v e lake d'evereux littlen hunting creek swamp potomac river swamp south> = S Q R Q B P M U T c b ` ` Z a ` _ ^ \ Z Z Y X W V d g ^ f8 0 3 ;



A B C D E F G H I J K L M N O P Q R S T U V W X Y Z Cartoon Text Font Hand Drawing Vector Letters Stock Illustration Download Image Now Istock



A B C D E F G H I J K L M N O P Q R S T U V W X Y Z Cartoon Text Font Hand Drawing Vector Letters Stock Illustration Download Image Now Istock
K a c a l e m > g ?B 9 v 3 u s 5 2 3 ;N 4 3 5 8 9 3 ;



Colorful A B C D E F G H I J K L M N O P Q R S T U V W X Y X Z Text In Paper Cut Style Stock Illustration Download Image Now Istock



Loop Segmentation A Input Loops Series B The Vy N Signal C Download Scientific Diagram
Abbreviations List of standard military abbreviations that may be used on this site (and elsewhere) We apologise for any ommissions it is always difficult to include everything in such a listH o s p i t a l o u t p a t i e n t s e t t i n g s ;F c da > c b e m@ h @ a o b e n b n h d g f z e > c b v f = a o b y e n w c f w e n @ c > h v x x > e f n b > x > w g f @ v h f o s u @ h c l s s s t s r q p h > a v h a x n c f = \ , 1 4 3 , 9 , 4 3 ;



A B C D E F G H I J K L M N O P Q R S T U V W X Y Z Cartoon Text Font Hand Drawing Vector Letters Stock Illustration Download Image Now Istock



Curis Ku Dk
Y f h N ŎO _ C G b g ɒ 풆 I Ȃ ̂Ōp ł ĊȒP ɑ ܂ B L C ŔY ł ֔ ܂ B y f h N _ C G b g ĎO 炢 ł B O łT s ܂ B' * / 0 1 2 3" " 4 * 2 3" " 4 5 6 7 8 9 8 9 8 9 9 7 ;E e n d ꂽ n C N X ō i u X b g A I _ W G ܂ő V R ̐ X ł B X 傪 M Ă ߂ l p E K l b V q } Y N C g 萅 N X ^ ł B



Karger Com



1
1 9 O ?



The Solution Of D V Dt K M V G Is A B C V C D E E F G K H G I J T K L M N



1 Let Y1 Yn Be A Random Sample From A Normal Chegg Com



Strain Rate Sensitivity And Apparent Activation Volumes Of Cg Ni Download Table



Pdf Phenolic And Free Amino Acid Profiles Of Bee Bread And Bee Pollen With The Same Botanical Origin Similarities And Differences



Who Int



Isometric Alphabet Fontcapital Letter B C Stock Vector Royalty Free



Single Atom Catalysts For Electrochemical Hydrogen Evolution Reaction Recent Advances And Future Perspectives Springerlink



Diagnostics Free Full Text Detection Of Ctnnb1 Hotspot Mutations In Cell Free Dna From The Urine Of Hepatocellular Carcinoma Patients Html



Morrison Ave Bowling Club Home Facebook



A B C D E F G H I J K L M N O P Q R S T U V W X Y Z Cartoon Text Font Hand Drawing Vector Letters Stock Illustration Download Image Now Istock



Solved 8 Show Whether The Following Systems Are Linear Chegg Com



B Sc I Electronics Govt V Y T Pg Autonomous College Durg



Solved 1 Determine The Laplacian Of The Scalar Fields Of Chegg Com



Hsl And Hsv Wikipedia



Abcdefghijklmnopqrstuvwxyz Letter Handshake Logo Template Design Stock Vector Royalty Free



Pdf Theoretical Fundamentals Of Short Pulse Laser Metal Interaction A Review



Construction Industry Acronyms Designing Buildings



The Cog Function Classification Of The Six Groups Download Scientific Diagram



A B C D E F G H I J K L M N O P Q R S T U V W X Y Z Cartoon Text Font Hand Drawing Vector Letters Stock Illustration Download Image Now Istock



A B C D E F G H I J K L M N O P Q R S T U V W X Y Z Cartoon Text Font Hand Drawing Vector Letters Stock Illustration Download Image Now Istock



Solved Question 2 16 Suppose That X1 X2 X Is A Chegg Com



1



Prospective Study Of Neuropathic Symptoms Preceding Clinically Diagnosed Diabetic Polyneuropathy Addition Denmark Diabetes Care



The Solution Of D V Dt K M V G Is A B C V C D E E F G K H G I J T K L M N



Karger Com



Colorful A B C D E F G H I J K L M N O P Q R S T U V W X Y X Z Text In Paper Cut Style Stock Illustration Download Image Now Istock



Tables Of Piping Standards W T Taper Gt G 2 Yn 11 Gnr 1 V Gt Jjjfifx V V Y W A C X Ott W



Black Hole Recordings Game Time Tell Us Your Dj Name Use The Letter Of Your First Name And The First Letter Of Your Surname And See What The Result Is



H D F Fl X Bl H Ult L F L K D Ld V B T M Ch F W P T Bl G Sp T R T W D D Ll D F S X W M G Y L B D Bl H D M Walmart Canada



1



Solved Determine The Number Of Terms In Each Expression 1 Chegg Com



Pdf Quantifying On Farm Nitrous Oxide Emission Reductions In Food Supply Chains



Electrochemical And Metallurgical Industry Bnf B Gyratory Crusher C Crusher Elevator D Single Unit Dry C E Oversize Bin F Plunger Feeders G Blake Crusher Fi Satnpler I Belt Conveyor J



Horizon Documentation Ird Fr



Pdf Reservoir Forming Conditions And Key Exploration Technologies Of Lingshui 17 2 Giant Gas Field In Deepwater Area Of Qiongdongnan Basin



Solved 10 Questions Refer To The Diagrams Vi N 50 Di N Chegg Com



Carel Com



A Mn N3 Single Atom Catalyst Embedded In Graphitic Carbon Nitride For Efficient Co2 Electroreduction Nature Communications



A B C D E F G H I J K L M N O P Q R S T U V W X Y Z Cartoon Text Font Hand Drawing Vector Letters Stock Illustration Download Image Now Istock



Jstor Org



Solved 1 64 The Systems That Follow Have Input X T Or X N Chegg Com



Solved Question 4 V N 8 N 2 2 N Select The Choice Chegg Com



Degruyter Com



Synthesis Of Disulfide Rich Heterodimeric Peptides Through An Auxiliary N N Crosslink Communications Chemistry



Jensen Prize Journal Of Financial Economics



Uzivatel Westerdijk Institute Na Twitteru Studies In Mycology 92 155 194 Phylogeny And Genetic Diversity Of The Banana Fusarium Wilt Pathogen Fusarium Oxysporum F Sp Cubense In The Indonesian Centre Of Origin Wur Fusarium



Solved Problem 7 2 A Linear Time Invariant System Is Chegg Com



A



Pdf Factors Affecting Genomic Selection Revealed By Empirical Evidence In Maize



A B C D E F G H I J K L M N O P Q R S T U V W X Y Z Cartoon Text Font Hand Drawing Vector Letters Stock Illustration Download Image Now Istock



Ribbon Latin Alphabet Numbers B C Stock Vector Royalty Free



Activities To Download Herons Wey Campsite



A Surface Electric Field Distribution For Sfp Vk Ldmos And C Ldmos Download Scientific Diagram



Zygotes A D G J M P S V Y Growing Ookinetes B E H K Download Scientific Diagram



Innexin An Overview Sciencedirect Topics



Osti Gov



The Solution Of D V Dt K M V G Is A B C V C D E E F G K H G I J T K L M N



A Synthetic Route To Human Insulin Using Isoacyl Peptides Liu 14 Angewandte Chemie International Edition Wiley Online Library



Greenpeace International What S Your Penguin Name Find Out Post It Below And Have A Great World Penguin Day Facebook



Solved Use The Venn Diagram To List The Set A B In Roster Chegg Com


コメント
コメントを投稿