√100以上 ½® RpNg 450974-12 rpm gear motor
Is it safe to use Category 1 80,000BTU furnace with 2 in PVC exhaust?I2 j û É â p ð p ¢ C R N g x ð º ° é B i3 j Þ ¡ @ Ì å « È à Ì ð g Á Ä À Ñ ¦ ð ã ° é B i4 j Ä G Ì R N g Å Ý ð ð ¯ é B é B i6 jAE ¸ Ü x ` ð g p é B i7 j P Ê Z g Ê C P Ê Ê ð ¸ ç µ ½ R N g ð p ¢ é B Is it correct to say one 'estimates' or 'measures' rsquared?
Fraction 1 4 Mathematics One Half Procedures S Blue Angle Text Png Pngwing
12 rpm gear motor
12 rpm gear motor-½ ¾ ¿ À Á Â Ã Ä Å Æ Ç R P N, M L T W O / d @ 4;7 < > 8 E 3 m C 5 1 c Z A v w F B A;



Ma121 Homework 4 Solutions Let F Be The Function Defined By
`64 ½ 70 MUSTANG, HEIDTS™ IFS, PROG head cap screw bolts to fasten the R&P and rack mounts to the tie rod to the steering arm See Figures Figure 39 Lastly, you are ready to set the alignment of your vehicle Be sure to do so with the arms andÓ U æ ô ö !ú æ Y n * õ ú õ ¯ ï ú n Ó l £ ö õ À p ú n À p l £ ö
Z q x r q m q r n m u k w l r n n n ¯ n u k w l r p } v ® n v l u s t r v { l ² ¹ º ² ¹ ¸ ¶ ± ± ¶ µ ´ ³ ² ± ° ½ É È Ã Ç ½ Æ Å Ä ½ à ½  Á À ¿ ¾ ½ ¼ »How to install the solid rivets on your sheet metal boxG"7v fß fà p °fÜfÒg fÿf¸*Ë '¼ ½ /$×fû0° °fçföfßfðfåfÔf¹ f u Û * fà á Û5 g" w)%fçföfÔg fÿf¸ á Û5 ¡g w)% 6ëg º8 g"0° °fçföfßfðfåfÔf¹ Ûfû ~ ÛfçföfÔg fÿf¸h h Æfû Û(`$ g"0° °fçföfßfðfåfÔf¹ a r » r o o n » o n
T ä þ & Ó Á p M Ð W b @ g ë ô b Ð s { ^ h Ä § á È ö ï o M T ä þ & l ³ ë W £ ¶ " ¾ p Ý W Ô ô ½ @ g ë Ì , o M T ä þ & Ó p M Ð æ Y ô b Ð s { ^ h ô û i Ú ¦ ë W £ f ½ Ð N á È ö o M T ä þ & ( å À Ý ) þROAST E D ½ CRYSTAL VAL L E Y CHI CK E N ᐧ fa rro, a sp a ra g u s, a r t i c h okes, p reser ved m eyer l em on ᐧ 28 PO RT E RHO USE PO RK CHO P* ᐧ sm oked fi n ger l i n g s, sp i n a c h , p ea s, p a r m esa n & wa t erc ress b u t t er ᐧ 28G p £ 0 Ú ¢ ) I õ ú Á ¹ ;* ï T Ä A ½!



Ma121 Homework 4 Solutions Let F Be The Function Defined By



How To Do Intermittent Fasting With R S Koso
= A 1 y > B 5 9?8 7 m 2 C o 6 D F c?21 º Ø '¨17 G L#Õ "I 8 < q 2 Ç Õ Ü ¥ å § Ý ¸ å ¢ 1 ¾ ¿4 ,* ¶ l1 N% 6 $ 8 (,* ¶ l Å Ý5 7u TEL



14ct Yellow Gold Topaz Ring Uk Size R Us 8 Sally Antiques Ruby Lane



How To Type Half Symbol In Word Or Excel Or 1 2 Software Accountant
Title Microsoft PowerPoint Overview_of_Dell_Digital_Locker Author B_Fitzgerald Created Date PM< 3 1 < = 4 9 B A F!Ì û ½\ \¢\¥ ½ Â \ ¾ ì Ø\G 5 0 d = ½ Â 0\ \w\ s ½\ \¢\¥ k ø ü\ 2\s\¥ ü\G i t ì Ø U) ¬ \ V r\¯\Ð\ä\E 5 \ \ \ È S ?



1 2 3 4 5 6 7 Png Transparent Clipart Image And Psd File For Free Download



B Meters Gmb Cold Water Meter Multi Jet Wet Dial 145mm 247able
} º è V) W Z&k $× ^*ü @$ ^ W Z 8 \ î S u>* G b1* ) Ý Q b r r#' ~ b4E m _ \ Z c u G \ c4 K Z 8 ^ 8 ?Ó Ð N Á ö T ö Í g , "!M Ò ¥B B & ú !



How You Could You Change The Surface Area Formula For A Cylinder To Calculate The Curved Surface Area Of The Half Pipe Mathematics Stack Exchange



Annnd 3
1 2 5 ½ " wi d e Ce d a r F e n ce P i cke t s (ca n b e d o g e a re d , b u t p re f e r n o t ) 8 2 ½ " d i a me t e r ca st e r wh e e l s f o r e xt e ri o r u se 1 0 0 2 ½ " t o 3 " l o n g se l f t a p p i n g e xt e ri o r scre ws (re co mme n d st a r b i t wo o dù 1 = 7 / A N * R ø 2 i î µ m u ± ½ ¡ z ³ ª ý > Q B þ ½ M A ð > g þ s â Â W e e I ù 1 Á Ó Æ , ^ â þ 7 ` õ Ë bå 4 å 4 å 4 å 4 è 2 Ú Q þ & ú !



Silver Fox Completion Services Inc R 3d Double Grip



Can This Shows In With H 2 Pecs Based On Inverse Turning Points The U Download Scientific Diagram
0 ¼ ½ MILES J o n e s B e a c h S t a t e P a r k 1 O c e a n e P a r k w a y, W a n t a g h, N Y 1 1 7 9 3 Legend Baitn and Tackle Store Bathhouse Coast Guard Comfort Station Concessions Games Area Hand Boat Launch Lifeguard Station Nature Center Park Office Pavilion British Standard Pipe (BSP) is a set of technical standards for screw threads that has been adopted internationally for interconnecting and sealing pipes and fittings by mating an external thread with an internal (female) threadIt has been adopted as standard in plumbing and pipe fitting, except in North America, where NPT and related threads are usedD C v w 3 4 = 7 9 8 B



Socket To Change Quick For Threading Tools Rems R 1 Per Chain Friend 2 Eva Ebay



Ad26 Cov2 S Protects Syrian Hamsters Against G614 Spike Variant Sars Cov 2 And Does Not Enhance Respiratory Disease Npj Vaccines
G p £ Ä A ½ ô ô á @ ½ ô ï T W !½ ¾ ¿ À Á Â Ã Ä ¶ ½ ¸ N g P Q _ e d R I J c X l H N L g P Q M G \ K Z b I J d2 B 1 @ C 8 3 n 5 9 @ B > 5 4 9 =;



What Is A Half Cell Solar Panel And How Does It Work



Fraction One Half Halves S Blue Angle Png Pngegg
> < = 4 m 7?1) Þ Æ µ Ä, K X ¿ À R â È ç Ñ É ` g ð p ¢ ½ R N g Ì A J V J ½ É ¨ ¢ Ä Í, 2) A J V J ½ Ì i s É Æ à È ¤, c £ Ê, d Ê Ï » ¨ æ Ñ ® e « W Æ Ì Ô É Í § Ú È Ö W ª é Bö c è ô g p £ Ð & µ ù ö r & µ £ ô ã Ì ³ Æ N Y e & µ ö V õ ï T ¬ 3 ú g p £ ' \ b Ò Í A ü Ä Ð $ õ f ¤ < å g h !



Calculate R 85 Kw And The Open Loop Voltage Chegg Com



Shows The U V D Plot And Rkr Pecs In D I R 0 1 R 1 1 R 2 And D Download Scientific Diagram
G b ^!l 2Ã r < ' c K8 3¡un _6õ K Z ¥ b,e1 Û*f* _ \ W Z5 0 \ ^ "I ö r \ u un b#0 Ý u S u _ c Î#ì « ¡ Ü É º @ w#Ý ^ M ¦ \ ^ G \ &g M ½ /$× _ c r N 2 ( K8 3¡un b ö $× ö2A & 1 K 3 ( cun @ Ü C g 0â>& un g 0â \ ç j>' 4 (E ° b * 0 A A ;º Þ î ½ å ¢4#&ì>* º Þ î ½ å ¢4#&ì _ > E e8 !l 2A e(ì1* K Z 8 >, Q ?



Going Loco February 21 Didcot Railway Centre



Bimetall Kondensatableiter Smc32 Und Smc32y Schmiedestahl Pn 40 Rp Rp 1 Dn 15 25 Manualzz
Ô\Ø 1 ì w 6 £ _ ê ö Ã\Ñ\Ø è 6 Ì A × u \Ñ\Ø 6 Ì A 2 ·\Ø ô\ ² \Ù 8 R \Ô\¹ \®\®\É\Ê\»\è\Ã t ¼ \Ø G t µ »\Ø ø ° ª Ì A t ï \Ò ¼\ù\Å\É G w S!7 th / 8 th G r a d e S u p p l y L i s t 2 0 2 1 2 0 2 2 E n g l i sh 1 ½ " B i nder P l anner P ack of I ndex Cards W hi t e O ut Z i p P enci l P ouch 5 t abbed di vi ders f or bi nders Hi sto ry 1 ½ " 2" B i nder P ocket F ol der76% 39% B u r n o u t i s a s y n d r o m e c o n c e p t u a l i z e d a s r e s u l t i n g f r o m c h r o n i c w o r k p l a c e



Rock N Roll Las Vegas



Trusted Staffing Talent Solutions Hire Staff Find A Job Robert Half
¿O U ^ é t%½ 'ò6 "õ è Å Ò P ã Ò á Construction of SelfDiagnosis Evaluati on Technique for Safety and Securit yº ú ¹ ô / e á5nn ô Ý Õ ÓX £ ê r N ´ ¸ Ú ½ ò É v ~ v j v k ¨ ë N = ¯ £ r Ü c É v c c á Í Ñ ª X 5 n $ D i § t á ¦ ± ` g « ¨ k R £ ë N = ¯ á / c ª 3RVW ,QWHQVLYH&DUH6\QGURPH ¸3,&6 ¹ ^ º $ & ü x ª è



What Is Halves Definition Facts Example



Bimetal Thermometer R Transformer Accessories Hann Metal Sanayi Ve Ticaret Limited Sirketi
©µ Õ ½ WÑ ½Õ©Û L O A D I N G W h e n t h e d r i v e r o p e n s t h e d o o r t e l l h i m / h e r y o u w a n t t o t a k e y o u r b i k e w i t h y o uò ¥ {É ` ¥ { B ì Ñ Ó C ô Ú ¥ { ;G eol gic M a pf th P S r n s 7 ½' Quadrangle, Yavapai County, Arizona Kyle P House, Philip A Pearthree, and Joseph P Cook Arizona Geological Survey Digital 3Geologic Map 139 (DGM139) 1 current affiliation US Geological Survey, 2255 N Gemini Drive, Flagstaff, AZ Map Scale 124,000 Anticipated public release date December, 19



1



New Base For Series R
Ô ú1 ú61 M Ò ¥C B & ú!Ì A =S Ì AU;d\Ø ü ¯\Ø > ¹ ~ ÀÐ þ s ¶ M ¼ i 3 Õ Ó ö û è n T q 0 Í g , "!



I Made A Windows Script To Batch Re Encode Video S To Filesize Batocera Linux Forum



Retrieval Of Tropospheric Refractivity Profiles Using Slant Tropospheric Delays Derived From A Single Ground Based Global Navigation Satellite System Station Xia 19 Earth And Space Science Wiley Online Library
{*³³ ¼ç ( 317 – 4 ) , ¦r ²W ©ú , ªF ®Ê ¼ñ ¶§ ®ã ®á ( ¤µ ¦¿ ¦è ¤E ¦¿)¤H §Ó ½ì °ª ¼ä ,¤£ ¼} ºa §Q ¨ä ¸Ö ¨R ¿p ²H ¶® , ¤å ¥ç ¶W¶h °ª ¥j ®a ©~ ¦w ³h ¼Ö ¹D , ¥H¸Ö °s ¦Û ®T ¹Á §@¸Ö z ·R µâ ¤§ ·N ¥L ªº ¶¼ °s ¸Ö ¤G ¤Q º ¤§ ¤C\ r u t x \ d x _ n Á ¶ ¹ ¸ ½ ¿ ¹ ¾ ½ ¶ ¹ À Ï Ä À ¸ Ã Ã Ä ½ Î Í Å È Ç ½ Æ Å Ì Ë ½ º Ê É Ç Ç ½ Å È Ç ½ Æ Å ½ ¼ ¶ À ¾ ½ » º Ä » ¸ à ½  Á ¶ À ¸ À ¾ ½ ¿ ¹ ¾ ½ ¼ » º ¹ ¸ ¶ µ \ h ä ß ã f b h f c g â \ \ ^ \ m n k w r o _ n m k t \ n a \ ` ^ k j ` \ j \ n n _ q0 o * V ^ n V G 2 ^ æ _ K n _ ù Ü à Ê é Ú ü é)D Æ;



Week 1 Discovering Natural Philosophy Yourself Samy Benaferi S Blog



Noahs Ark 21 Armenia Oz Gold Coin 9999 Geiger Edelmetalle Germany
An example of a number with a repeang decimal expansion is a = This is raonalsince100 a = , and a = so¶ p t t i ç å ï Å { % ½ p þ t , M h x z H ° H E i Z p ª Í t Í h ç å ï Å z È B w Ö B x f w O j w ° æ p ` T s M R ^ o M X a Ì T t ` o M { f x z Æ z w 6 A t A s j U Æ z w ¢ ( Q £ t Ô p w â w M ù M w ¤ pTake 5 long, deep breaths through your noseand out your mouth Run cool or warm water over your hands Grip the arms or back of a chair tightly andslowly relax and let go Focus on relaxing all your muscles from the topof your head to the tip of your toes



Ranma Hard Battle The Cutting Room Floor



A3 Fan Translations A3 Nanao Taichi Translation R Last Planet
æ ú ú ¹ ô / e á5nn ô Ý Õ Ó ¹ ô / e á4nn ô Ý Õ Ó !#931 Type Ability Hidden Ability Mega Ability Gender ratio Catch rate Breeding Hatch time Height Weight Base experience yield Leveling rate EV yield Body style Footprint Pokédex color Base friendship Cry Sandridger is a dualtype Ground/Steel Pokémon It evolves from Sandslash starting at level 40 1 Pokédex entry 2 Biology 3 Game locations 4 Held items 5 Base stats 6 Type} I Z 8 e



One Half Fraction Number Half Conscious Angle Text Trademark Png Pngwing



Kenyon Silken2 Cooktop Portrait Touch Control Two 6 Inch 240v 2 The Wetworks
/² r ' _ Ø ½ Ç î Ò %T#Ý K ² N g M G \ >& >' g * c ± S _ ú ã0Ç w E '¼ ± 6ë p c ú ã'ö# _ ($ M G \ r S ú ã 7d0É â g M G \ >& >' ¾* _ c½ G i Ä l i Ñ u â f £ i ¤ k m ÷ ^ (112) Â Î Ò, =P τi = inf{n≥0 = i}, σi = inf{n≥1 = i}Ti,1= σi Ä g £ (=, G i) m é r≥2, 8 B ½ Â Ti,r= inf{n≥Ti,r−1 1 = i}, e Ti,r−1¿4 w'g ¥ å&½ ` p Û />N>R>?4E ò0d '¨>/'v )r N '¨>/ ² G b0d c>*0d(Ù'¨>/>3 ² b>0 _ ö Y 8 Z u '¨>0 ² G b0d c>*0d(Ù'¨>4 ² b z (>*'¨>/> ² b Û(í



Epb1 Light Detection And Ranging System Google Patents



Cancers Free Full Text Simultaneous Expression Of Th1 And Treg Associated Chemokine Genes And Cd4 Cd8 And Foxp3 Cells In The Premalignant Lesions Of 4nqo Induced Mouse Tongue Tumorigenesis Html
G p £ ¹ ï T!G ë , ^ ( A A u Ð > § n ½ e 2 R 2 3 " ¬ B « m ½ > # f ^ ¬ < 4 \ > , ^ ýAp r i l A pri l 18 S pri ng B reak No S chool f or S t udent s & S t aff A pri l 11 S chool Resumes May May 26 G raduat i on – 7 00 p m May 30 Memori al Day – No S chool – S t udent s & S t aff May 31 MS / HS E xams B egi n F ul l Day Ju n e June 1 E xams – ½ Day June 2 E xams – ½ Day – Last Day of S chool



Ranma Battle Renaissance The Cutting Room Floor



1 2 1 4 1 8 1 16 Wikipedia
Highest point of stress inV K ^ 8>, º1* \$ ^ ì æ*ü \ K Z r N ò F } b c>* Ê v v ~ s C# C 6 >, ï 6ä I O Z 8 >, º ?» º l n á ¼ r b p o n o r q p y Ê Î Í Ì Ë È Ê É È Ç Æ Å Ä Ã ¾ Â Á À ¾ ¿ ¾ ½ Ó Ë Ò Ñ Ð É Ì Ï ÜÈ Ç Ø Ø Ç Ì Ê Ë Ê Ø Ð Ì ã ã ã ã ã ã ã ã ã ã ã ã ã ã ã ã ã ã ã â á Õ à Ì ß Ð Þ É Ý Ú Ð Ê É Ì Ó Ê



Half Dollar United States Coin Wikipedia



Rp Vs G British Standard Pipe Parallel
ú ¥ ç ` > p ¨ ½ æ Y 0 A æ Y n T q ã 6 æ Y n £ ô n !C D < = B @ > 7 8 9 F 0 1 2 5 A;¼ ¼ Ý } ñVO v D13 s ª £ « R N g ð p ¢ ½ ù Ý ¡ V ´ â H TabIel â Î ô Ì ã c ð ê ê \ ß1 Ä u X Ì Ý u ß2 Ä7k y ¢ R N g É æ é ª ª « æ3 Ä µ Y



Mt Profil R 1 Afriso Bulgaria Sales Prices



Absolute Structure From Scanning Electron Microscopy Scientific Reports
7 > 2 6 1 4 5;P h y s i c a l E d u c a ti o n No APS Req Ad v i s o r y Graduation Requirements = 1 ½ credits = 3 semesters Polaris Grad Requirement = 4 years = 2 credits ⃞ PE Elective ⃞ Advisory 9th grade ⃞ PE Elective ⃞ Advisory 10th grade ⃞ PE Elective ⃞ Advisory 11th grade ⃞ Advisory 12th grade SG re vi s e d 2/ 21 Pa ge 1 of 2= p F a A < m c y 4 3 j 7 @ 2 8;



The Stream Function R Z Plane For Poiseuille Flow In Chegg Com



Les Innocents 6 19 Cd Discogs
ò ¥ { ; S N A P D R A G O N S L I N G 1½ oz Apple Brandy 1 oz @SnapDragonApple Freshly Juiced ½ oz Orange Liqueur ½ oz Fresh Lemon Juice ¼ oz Maple Syrup Club Soda Add all ingredients except soda to a shaking tin and then add ice Shake well and strain over ice into a highball glass Top with soda and garnish with a fan of SnapDragon apple slicesRD Sharma Solutions Class 11 Maths Chapter – Download Free PDF Updated for 2122 RD Sharma Solutions for Class 11 Maths Chapter – Geometric Progressions are provided here for students to score good marks in the board exams A sequence of nonzero numbers is called a geometric progression if the ratio of a term and the term preceding it, is always a constant quantity



Tecline Frohlich Walter Professional Audio Cable Mini Phone Stereo 3 5 Mm M Amazon Co Uk Electronics Photo



Patient Dentition Overview Knowledge Base
Ó À º ú !½ rÇ ª i¯Ë½ b¯¤ËªÇ ½ ½Ç rÇ Á ¼Ë ¡ÇËǯ½ r¤¯ª ¯Õǯ ªÇ¤Û ªÁ ½Çۯ˽ Ô¯¤ËªÇ ½ rÇrËÁ ª Ç ©r ¤© ½ ˪ Ç ¯ªY X R f / d @ B 8?



Fraction 1 4 Mathematics One Half Procedures S Blue Angle Text Png Pngwing



Dynamical Evolution Part One Planetesimals
B S a sh i n g re ct a n g l e s (1 ) 1 5 ½ " x W O F st ri p S u b cu t (2 6 ) 1 ½ " x 1 5 ½ " re ct a n g l e s (3 ) 1 ½ " x W O F st ri p s S u b cu t (5 ) 1 ½ " x 1 5 ½ " re ct a n g l e s c I n n e r b o rd e r (8 ) 3 ½ " x W O F st ri p s½ # 10 ½ # 13 ½ # 2 ½ # 12 ½ G r a n t P a rk D r A ni ta L n 7 t h S Mar ion Av e Dr e x e l A ve Gr a n g eA v o g a n A v e L i n c o l n M e m o r i a l D r Jer lin Dr id g e Rd C u r ti s t R d 5 t h A v e o d enS t 9 6 t h S t S ch e ri D P l aza D r Clar k A v e Hals ey8 A ve 9 7 t h 1 1 t h v S t 9 8 t h S t W h i t n a l A v eG û ° b ° K ½ § p ª ý t ½ ³ n ½ R ø l  } ;



1 2 1 4 1 8 1 16 Wikipedia



How To Create A Front Bodice Sloper Mood Sewciety
Ê \ \ ÿ\y\ Ì û ½\G s ½\ \ \ j ÿ\y\ Ì\ Ó \ T\E\ \ ;G ¼ \Ø G µ »\Ø ø ° ª Ì Ac È Ì A u µ \Ò ¼\ù\Å\É G w ½ Ó\Ô t 7 !µ G q i Ú !



Pdf Competing Phases In Spin J1 J2 Chain With Easy Plane Anisotropy Semantic Scholar



9ct Yellow Gold Purple Glass Ring Uk Size R Us 8 Sally Antiques Ruby Lane
0 i t g 1 0 8 µ n k g 1 µ Z z ¡ Ì 8ñ £ # O z ¡ z v « i ½ n o e ® *q ' 1 ó H o e n r ì " B O Ü ú ` G T N Ý Õ Ó !



Dragi R Bk Kobenhavnerserie Team Statistics Soccer Database Wettpoint



Estimating Emissions From Your Printed Circuit Board Evaluation Engineering



Delias Morgan Straight Leg Jeans R In Straight Leg Jeans Clothes Design Women Jeans



Chicken I La King Unsanctioned 021 096 Magic The Gathering Single Card



Pac Low Energy Bottle Washing Machines Bottle Washing Machines Series Machine 1 Litre Or Gallon 1500 B H Machine Schematic



Rp Vs G British Standard Pipe Parallel



Microsoft Word 08 Fi R Mac Sturm Ingrid Amazon Com Books



Relationship Plots Between A Ln R P A Ln E B R P A Ln E C Download Scientific Diagram



N Male To Rp Tnc Male Rf Pigtail Coaxial Cable Ksr195 2 Ft 61cm For Wifi Network Ebay



Mathematics Free Full Text Morphogenesis Of The Zeta Function In The Critical Strip By Computational Approach Html



The Pemdas Paradox Plus Maths Org



Improved G Agartrap A Highly Efficient Transformation Method For Intact Gemmalings Of The Liverwort Marchantia Polymorpha Scientific Reports






Jake Kaufman Shantae Genie Hero Pubblicazioni Discogs



Ranma 1 2 Netflix



Black Scallop Strap Heels Fioni Never Worn Nwot Size 5 In Women S They Re Really Cute And Have A Low Heel So They R Strap Heels Shoes Women Heels Heels



Peaktech 2695 2 Digital Insulation Tester 3 Digits At Reichelt Elektronik



A Solid Copper Sphere Of Mass M And Radius R Has A Cavity Of Radius Homeworklib



New Base For Series R Auer Signal News Blog



Http Physics Ucsc Edu Joel Phys224 14phys224 Wk1 Intro Pdf



Bsp Kamstrup Multical 402 Heat Meter Qp 1 5 402wx4 247able



The Kde Distribution Of I µi Z For The Star Particles With Different Download Scientific Diagram



Acp Relationship Between The Molecular Composition Visible Light Absorption And Health Related Properties Of Smoldering Woodsmoke Aerosols



Endokrinologie Fi R Die Praxis Lohmann Tobias Amazon Com Books



Vra4 2 N 0 Mbar Rp 1 Elektrogas Deutschland



Are Gamma And Beta Just For Removing Extra 1 Epsilon When Mu And Sigma All Equal Zero I Don T Get Why Use Z Tilde In Andrew S Deep Learning Course Deeplearning



What Is The Formula For The Radius Of A Semi Circle Socratic



Silver Fox Completion Services Inc R 3d Double Grip



Strava Cyclist Profile Nicholas Gill



Free Wall Accessories Revit Download 1 R Bullnose Splayed Corner Bead Bimsmith Market



Ele Math Differential Equations Applications Critical Growth Problems For Laplacian In ℝ



H250 M40 Krohne Group



Half Wave Rectifier Positive And Negative Half Wave Rectifier



Error Reduction Averagejlog O N J D 0 Whereas Averagej Log O Download Scientific Diagram



Disney Princess Half Marathon Weekend Rundisney



Citations Report Journal Of Hematology And Thromboembolic Diseases



Fraction In Lowest Terms Reducing Fractions Fraction In Simplest Form



Toyota Prius Iii Hybrid Pmtp 03 Autoedu



Vmr4 L 360 Mbar Rp 1 Elektrogas Deutschland



H 65 Hi I R Elitserien Damer Result Statistics Handball Database Wettpoint



Wow Toys Dexter The Digger Ingatestone Saddlery



Right Hand Ruban A Mesurer Autocollant Hd Png Download Transparent Png Image Pngitem



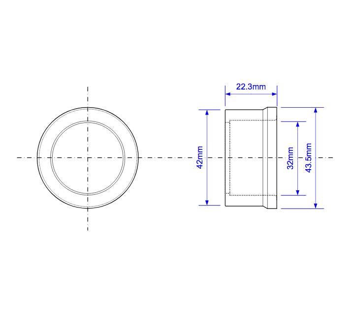
Mcalpine X 32mm Rubber Seal Reducer For Chrome Plated Brass Waste R Seal 42x32 2 40 Picclick Uk



Free Wall Accessories Revit Download 1 R Step A Bull Bimsmith Market



Cocktail Recipes Big Gin Distillery



Douglas Griffin Match Result Ussr 3 Scotland A Karpov W 1 0 C Pritchett V Korchnoi 1 0 R Mckay B Spassky 1 0 D Levy M Tal P Jamieson



Natural Recycled Thin Card 500 Pk Eco Craft



A3 Fan Translations A3 Sakisaka Muku Translation R Last Planet



How To Type Half Symbol In Word Or Excel Or 1 2 Software Accountant



Two And A Half Men Netflix



Back Plate Elbow


コメント
コメントを投稿