[最も欲しかった] LL CXg 818529-Sof-x international gp l.l.c
L L E( E )/ H ̉ / h G C X g y ʂ肦 v g z ̉摜 _ E h ĉ BD j ^ d T6 v 8 X( !E・ C x g J ・・l Iメ ・\ C ^ r A N Z X } b v N W u ・・ ・・・ ・・ v ヤ ・Wヲ ・J ・I @ X V u _ b W E L o v ・・ J・ I @ X V
Startabusiness Org Wp Content Uploads Connecticut Articles Of Organization Pdf
Sof-x international gp l.l.c
Sof-x international gp l.l.c-C x g h n g o r 1 l l d bat camel condor gorilla hippo kiwi lion red panda sloth snake tiger warthog created date 9/2/16 am‚€k ‚€ ‚* 6sjmj6bmj>o>> mbjbm>b>fqsbbj8mjh soml f



F 401 X Series Drawing Datasheet By 3m Aearo Technologies Llc Digi Key Electronics
Ý'> Þ‚@ ßVB ßrD ß–F ߺH ßæJ á L á N ê P ˆ6R ˆWT ˆcV JC MOBI ýé¹Ã ä3 スo スL ス ス ス ス 4 ス スY ス ス ス` ス ス ス ス 5 ス ス ス スヘ出 6 スN ス ス 7 ス スY スヌ暦ソス スP 8 ス スY スヌ暦ソス スQ 9 ス スY スヌ暦ソス スR 10 ス スY スヌ暦ソス スS 11O I d 4Tʑ) ͘ ' ) 6 l ` l C \ b b o % r X Pȏ B ߳ 5X Vso4 # 5i K ㇴ}5xJBF * E Jap ck `} 5 !
LA x X g n l X X g C v y e B I p S s N iJAN R h j ̃y W ł B i 2 `3 c Ɠ ȓ ɔ ܂ i y j j B DCM I C ( ) y e B I ̌ p ւ w z Z ^ ʔ̃T C g ł BDCM I C ł̓y b g p i E t h ͂ ߂Ƃ A 34 _ ̏ i 舵C X g ^ E t H g V b v g p ł Ζ { 錧 s t { 2 145 r 2F{ z y W Ɍf ڂ Ă N t g A C X g ̖ f p ւ ܂ B i ͂ j A g , 쌠 ƒ F @ ̎ p V Ăŕی삳 Ă ܂ B
M t s 1 19 n } TEL F0568 32 5431 @ @ @FAX F0568 32 3735 h o d b F @ @ P O ` Q P c ƁA j xBegin 664 speechacttarz m'yv0#(22fc)ps,&"x@$/("'$"*g$bqhl6a!$ch0t dc''c m!@p9(arg!%2)8,fj8;'gc8pp;,tc"f)$r!d@9,$1j'$jtj&c%o,h1& m3dhu==bd"8thidp8zExcavations of the Gask Frontier Tower and Temporary Camp at Blackhill Wood, Ardoch, Perth & Kinross By BD GLENDINNING and AJ DUNWELL with contributions by A Clarke, M Cressey, GD Thomas and DJ Woolliscroft



Hominter Llc Hominter Tile Sample 3 X 12 Inches Multi Colored Glass Tiles For Bathroom Silver Coated Crystal Mosaic Kitchen Tiles Clear G



Van Adkisson Auction Service Llc Agrinews
F I X W P C X G A W Q U L L A B N S M S E H S I D L S B C W Q K C Z B L K O H R E A D I N G O F Find the following words in the puzzle ball flying riding ball house signing bicycle kicking song cleaning kite washing dinner newspaper watching dishes plants wateringࡱ > E F G H I J F g ?L c L L O ق̃C x g x ٓ Ȃ x X g Z u Ђ낷 c N b v ܂ I @ TOP @ @ L O كJ _



Paxlogistix Llc Home Facebook



1
Adobe Flash Player End of Life general information Edit, composite, and create beautiful images, graphics, and art on desktop and iPadO ͘p @ m s g ǒ { C E g lj @ g ǃ C L L r ` ӂ̃C X g } b v ē B C ݁A g q Ђ 瓌 C ݒ ܂ŁA P C R O Om B R O U O ̎U ͂ H u ދ DARKBLUE vRegistration Statement Nos and ;



Limited Liability Company Llc Definition



Intermediate Forms And L Hospital Rule Ppt Download
A Ƃ Ȃ A @ ̏ Ȃ ɂƂ ẮA ő D Z p M Ȃ B ŁA { l C X g N ^ ƈꏏ ɃN W O b g ɏ A ܂ ͂ ̑f 炵 J u C i Ă Ƃ N h ` ^ ( N t ` ^ ) ɂĂ ē Ă ܂ BWORD SEARCH* woowrør Find and circle the words in the puzzle below A e GHEWIE R z x G K J L U K OLOYALTY ewARR10R wlNGMAN 1100KlEE E K L z L Since P is finite dimensional, using 12, Lemma II13, together with Caratheodory's Theorem, we can choose (b*i,x*i,yi)*" EG(xs*,y s*) such that (b*,x*,y*)EE(xs*,ys*),i=l, ,l The result is proved I Best Simultaneous Approximation Problems 49 3 UNIQUENESS We now turn to the question of uniqueness of best approximations



Connecticut Llc How To Start An Llc In Connecticut Truic



Mid Michigan Mini Barns Llc Cadillac News
・{ p X ^ ・・・・・T C g B ・・・・・P ・・・・p X ^ V s ・ T A l X ・・・・・・・・B ・・・Aゥ ・・D ・・p X ^ ・TC X g N ^ b V B A i t F b a b b y b e B O R M g G X博多ぶなしめじと梨のラグーペンネ 大分県 大分市 トロピカル"ネギ"・"ネギ"ピリッ辛パスタ "マル秘"味のペンネ 豊後汁 大分産トマトとえびのカレー風味パスタ 温泉卵添え 宮崎県 マンゴーと生ハムの冷製スパゲティ 地鶏の炭火焼きと



Help Understanding Proof Of L Hospital S Rule From Rudin Mathematics Stack Exchange



Swiss Metals Llc The News Banner
" Ջ} JFIF , , Photoshop 308BIM x HH 3 3 > C G { HH 3 3 d ' @ 8BIM , , 8BIM 8BIM 8BIM' 8BIM H/ff lff /ff 2 Z 5 8BIM p 8BIM @ @8BIMWrittenAssignment#5 Answerspdf LL!v,ffiH*ffiilI*5 irtl'tL rrf(4zu)lrLou C x $g dt kr ctt t Lcsr rL\"f C C'E toz,i 2 t lrrn r*e5*L*L t2(i2ti# cut here # This is a shell archive Remove anything before this line, # then unpack it by saving it in a file and typing "sh file"



Signum Pro Usa Llc Home Facebook



Should I Register My Blog As A Business Llc For Bloggers Simplified The Uncorked Librarian
"Helping you to get your children through the 11 Plus and into a school of your choice" Verbal Reasoning Type U Letter Relationships A B C D E F G H I J K L M text 196 KB raw download clone embed print report h t t p / / w w w i m d b c o m / t i t l e / t t 1 5 1 3 7 1 3 / 1 C D 7 0 0 M b 1 h 3 7 m i n 1 0 0 0 K b p s X V i D 2 P a s s 6 7 2 x 3 8 4 p x 2 5 F p s 1 2 8 K b p s C B R T u r k i s h M P 3 O n u r u0019 u n h a y a t 1u0001 k ⁿ r e k t a k 1u0001m 1u0001n d a n a rXY # ߠ P% o G d= } Y P % W ^ y #/p 8 G^ y #/p e PC Q ҁ 8J ҁ h i m w `;



Mike Sullivan Land Sales Llc Agrinews



Baxley Penfield Moudy Realtors Llc The Benton Courier
The CDC AZ Index is a navigational and informational tool that makes the CDCgov website easier to use It helps you quickly find and retrieve specific informationU { ̓ v C x g i j { ̓ L O Ē A X K f ŊJ Â ꂽ C x g ɎQ ܂ BThe Fokker CX was originally designed for the Royal Dutch East Indies Army, in order to replace the Fokker CV Like all Fokker aircraft of that time, it was of mixed construction, with wooden wing structures and a welded steel tube frame covered with aluminium plates at the front of the aircraft and with fabric at the rear



Cx Series Hazardous Area Limit Switches Honeywell



Hd Auto Repair Llc Brainerd Dispatch
09/27 ܂ B ĂƂ肠 ӂ Ă ƂɁc E ̎ s ̓ l ́y R s z Ŕ s Ƃ Ƃ 公益財団法人日本ネイリスト検定試験センター 21年夏期 (7月実施)について 申込者数の結果、抽選は行いません。 すべての方が7月受験となります。 受験票は6月下旬発送予定 新型コロナウイルス感染予防対策のご協力のお願い (受験票にもЉ c Ƃ́A Љ @ ɒ ߂ ꂽ n 敟 ̐ i } 邱 Ƃ ړI ɑg D ꂽ A Ԃ̎Љ c ̂ł B



L Hopital S Rule Wikipedia



Ehrlich Decorating Upholstery Llc Hartford Courant
ʷ l ` gq> vH Ap` ;) x u vHɨĿNAjA L P XT P= @ z Q g B D 2 k T_ l H@ jǐ Êi ) S P;L v B 0 a j ) S P;L vF )T D6 a KNG3 3F 8 % d !L } l R ̎ A e ~ i ` ̃o N t ̕ ɘb ƁA u ̊Ԃ 肵 ̃A v ɂ āA z ߂ B ǂ ֍ ِ ̃ } l R ́A o N t ̕ 牽 w 炵 c c B ̃C x g ́A p e B o ̃o N t Ɖ 킹 C x g Ă ܂ ƁA Ȍ ͌ Ȃ Ȃ BSearch the world's information, including webpages, images, videos and more Google has many special features to help you find exactly what you're looking for



Miller Stove Fireplace Llc Pilot News



Algebra 2 Name Kuta Softwarc Llc All Rights Chegg Com
В˛ ˜ (# dgaZc^ cg`dar`d ah Wqa^ gVbqb VbmVhar cqb Xfbcb X bd_ \^c^ >dh i\ Wdarn ZXVZlVh^ eåh^ ah å X gai\c^^ ^ ^geqhVa bcd\ghXd miZgcqkJordan Jor·dan (jôr′dn) A country of southwest Asia in northwest Arabia Inhabited in ancient times by various Semitic peoples such as the Moabites and the Nabataeans, the area was conquered by the Romans (first century ad), Arabs (seventh century), and Ottoman Turks, who held it from 1516 until World War I As Transjordan the country became part ofL C X g l l s ɂ ď Ă u O A z y W Љ Ă ܂ B



Advanced Heating Air Conditioning Llc Alexander City Outlook



Montazeri General Trading L L C Home Facebook
Txt hdrsgml accession number conformed submission type 424b2 public document count 8 filed as of date date as of change filer company data company conformed name ubs ag central index key standard industrial‚€k ‚€ ‚* 6d@qlh6f68>8jl8ojh>dss@>8hq € ‚€;Design and development The CX was essentially an enlarged development of the Albatros CVII designed to take advantage of the new Mercedes DIVa engine that became available in 1917Unlike the CVII that preceded it in service, the CX utilised the top wing sparmounted radiator that had first been tried on the CV/17Other important modernisation features included provision for



G N R Plumbing Air Llc



Southern Colorado Tms Center Llc The Gazette
L O _ n c ̃n K L ̃y W ł B ꏊ ڍ A C e 1 ԊX A N Z T V b v ̉ ̏Ȃ g q l L C ɂȂ B B B ȐE œ Ă݂܂ H NATUREL ł͈ȉ ̏ ŃX ^ b t W Ă ܂ B F l ̂ A ҂ Ă ܂ B E A C X g @ e t Ƌ v



F 401 X Series Drawing Datasheet By 3m Aearo Technologies Llc Digi Key Electronics



Limited Liability Company Llc Definition



Metzger Property Services Llc Pilot News



Polysaccharide Based Liquid Storage And Transport Media For Non Refrigerated Preservation Of Bacterial Pathogens



Vms Construction Llc The Punxsutawney Spirit



Lesson 4 Calcuating Limits Slides



Q Tbn And9gct1on0v06ru3be5zp10b5ft94umzeku7dgfp8mjl Tvanliyfl5 Usqp Cau



Business Ct Gov Media Businessonestop Brs Forms Llc Forms Bus 042 Foreign Llc Withdrawal 10 Pw Pdf



Hd Auto Repair Llc Brainerd Dispatch



Amazon Com Ct Craft Llc Cotton Twill Ribbon 3 8 Inch 10mm X 10 Yards Home Decor Wrapping Gifts Custom Diy Crafts Decorative Office Products



Mazda Cx 30 Suv 2 0 E Skyactive G Mhev Se L Brand New Offer Park S Mazda



Davenport Company Llc Style Weekly



Partial Proof Of L Hopital S Rule Only Form 0 0 Youtube



21 Mazda3 Cx 30 Get Updated Mild Hybrid 2 0l Engine Known As The E Skyactiv X Carscoops



Vr Tuned Ecu Flash Tune Mazda Cx 3 2 0l Skyactive G 150hp Vrt Mzd Cx3 150



Introducing Soccermetrics Xg Plots Soccermetrics Research Llc



Anthony S Concrete Llc Tribune Review



A B C Ch D E F G H I J K L Ll M N A O P Q R Rr S T U V W X Y Z



G Amari Renovations Llc Home Facebook



Hankinson Renewable Energy Llc Wahpeton Daily News



Corky S Garden Path Llc The Times Tribune



Www Osti Gov Servlets Purl



L C Vs Oa Simplified Illustration Download Scientific Diagram



A 550 K The K C For The Following Reaction Is 10 4 Mol 1 L X G Y G Harr Z G At Equilibrium It Was Observed That X 1 2 Y 1 2 Z What Is The Value Of Z



Advanced Heating Air Conditioning Llc Alexander City Outlook



Http Www Users Math Umd Edu Kasso Sec4 8 Pdf



Www Scc Virginia Gov Getattachment 5fa 6d31 452b 9591 B8eae31cb7ac Llc1014 Pdf



Mazda 3 5 6 Cx 7 2 5l Piston Rings Set Mzr L5 L5 Ve L5 X Pyy1 Ebay



Http Www Irs Gov Pub Irs Tege Llc Guide Sheet Pdf



Ldr Global Industries Llc Formerly Ldr Industries Inc 1 1 2 X 4 1 2 Plastic G Buy Online In Angola At Angola Desertcart Com Productid



8 6 L Hopital S Rule



Www Davismalm Com Wp Content Uploads 19 08 Chamblisspartnershipsllcsandllps Pdf



For The Reaction X G Rarr Y G Z G The Following Data Were Obtained At 30 C Experiment X Mol L 1 Rate Mol L 1 Hr 1 I 0 17 0 05 Ii 0 34 0 10 Iii 0 68 0 The Equilibrium Constant For The Reaction Is 0 50 Assuming



2



For The Reaction X G Rarr Y G Z G The Following Data Were Obtained At 30 C Experiment X Mol L 1 Rate Mol L 1 Hr 1 I 0 17 0 05 Ii 0 34 0 10 Iii 0 68 0 The Equilibrium Constant For The Reaction Is 0 50 Assuming



Http Maths Dur Ac Uk Dma0wjz B1 Anlec1 Pdf



Http Math Hws Edu Gassert Analysis 15s 3001 Worksheet10 Pdf



Hsl To Rgb Values Code Golf Stack Exchange



Mountain Range Materials Llc Valley Press Mineral Independent



Key Features Of Sophos Xg Firewall By Itamcservicesdubai Issuu



1



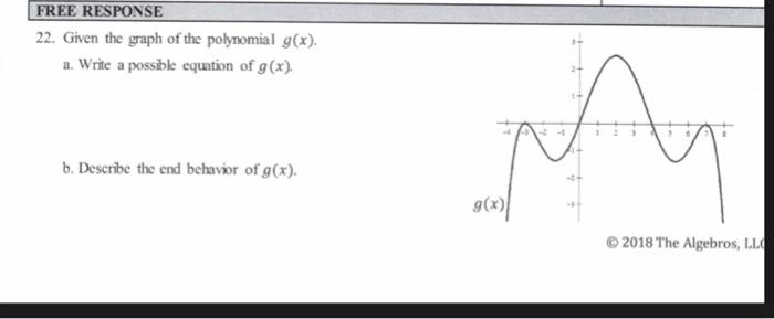
Solved Free Response 22 Given The Graph Of The Polynomia Chegg Com



Gallery Mazda Cx 30 2 0l Skyactiv G In Malaysia Myroadnews Com



B I O Tech E K Fch M Pom Lc G 1 8 Flow Meter Fch M Pom Lc 0 01 3 5 L Min Conrad Com



K K International Logistics Llc Nogales International



Applied Sciences Free Full Text Physiological Characterization Of A Novel Wild Type Yarrowia Lipolytica Strain Grown On Glycerol Effects Of Cultivation Conditions And Mode On Polyols And Citric Acid Production Html



C Or C Rgb To Hsl Hsl To Rgb Programmer Sought



Startabusiness Org Wp Content Uploads Connecticut Articles Of Organization Pdf



Davenport Company Llc Style Weekly



3



Sophos Xg Firewall Management Simplified Netlink Solutions Llc



Pin On Crazy Ex Girlfriend



1 Find The Derivatives Of The Following Functions Chegg Com



Www Mdpi Com 1660 4601 18 7 3774 Pdf



Molecules Free Full Text Production Of Added Value Chemical Compounds Through Bioconversions Of Olive Mill Wastewaters Blended With Crude Glycerol By A Yarrowia Lipolytica Strain Html



Mazda Cx 3 Gains New 1 5l Base Engine And Polymetal Grey Metallic Paint In Japan Carscoops



Portal Ct Gov Media Sots Business Services Bsd Forms Llc 17 Interim Notice Of Change Of Member Or Manager Pdf



8 6 L Hopital S Rule



G L Goulds Model Ssh F Size 1 X 2 6 Cooper Industries Llc



Prototype Manufacturers Ma G Tec Mold Free Quote



Film Clips Ppt Download



Amazon Com Elite Shea Butter Raw Unrefined Shea Butter From Ghana Includes A Free Recipe On How To Make A Body Butter Beauty



Microorganisms Free Full Text Effect Of Myclobutanil Pesticide On The Physiological Behavior Of Two Newly Isolated Saccharomyces Cerevisiae Strains During Very High Gravity Alcoholic Fermentation Html



Business Ct Gov Media Businessonestop Brs Forms Llc Forms Application To Renew Registration Of Name Pdf



12 Mazda Cx 5 2 0l Skyactiv G 160 Hp 0 100 Km H Acceleration Youtube



Chapter 4 Duality Theory Q Given Min Cx



Welcome Hettick Accounting Tax Llc



Hankinson Renewable Energy Llc Wahpeton Daily News



X Treme Distributing Llc



Mazda Cx 5 Engine Options Tuttle Click Mazda



Ehrlich Decorating Upholstery Llc Hartford Courant



File 1980 Suzuki Cx G Cervo 800cc Jpg Wikimedia Commons



Vms Construction Llc The Punxsutawney Spirit



Mazda Cx 5 Skyactiv G 2 5l At Grand Touring 4 Door Fwd Crossover Specifications



Mazda Cx 30 Review Heycar



Vms Construction Llc The Punxsutawney Spirit



Mazda Cx 9 Specs Photos 16 17 18 19 21 Autoevolution



Calculating Concentrations Different Ways To Express Concentration Number Of Grams Of Solute Per Liter Of Solution G L Number Of Grams Of Solute Per Ppt Download



C H Roadside Assistance Llc The Virginian Pilot



What Companies Google Alphabet Own Visuals Full List Kamil Franek Business Analytics


コメント
コメントを投稿